Matematik
-
Aşkın Matematiği: Neden Sevgilim Yok Derseniz Matematik Cevap Versin
Çok azımız gerçek ve romantik aşkı deneyimleme fırsatını geri çevirir. Şu ya da bu şekilde, hepimiz kalıcı mutluluğun peşindeyiz. Hayalinizdeki…
-
Antik Çağlardan Günümüze Kalan Bir Miras: Dama Oyunu
Eğlenmek için fazla seçeneğin olmadığı antik dönemlerde insanların zar oyunları, tavla, satranç, senet gibi oyunlarla zaman geçirdiğini günümüze ulaşan arkeolojik…
-
Kepler Varsayımı: Yüzlerce Yıl Matematikçileri Meşgul Eden Bir Gizem
Manavların yüzyıllardır pratikte uyguladığı “piramit şeklinde istifleme” çözümünün matematiksel olarak doğrulanması, Kepler varsayımı adıyla bilinir ve bu varsayımın resmi kanıtı…
-
Ondalık Sayılar Neden Bazı Ülkelerde Nokta Bazılarında Virgül İle Gösterilir?
Matematik öğrenen herkesin aklına er ya da geç şu soru gelir: Ondalık sayılar neden bazı ülkelerde nokta, bazılarında ise virgül…
-
Sonsuzluğun Zıttı Sonsuz Küçükler Nedir?
Sonsuzluğun zıttı olan kavrama sonsuz küçük, yani “infinitesimal” denir. Bu kavram da en az sonsuzluk kadar tuhaftır. Sonsuz küçük, öyle…
-
Battani: Trigonometriyi Geliştiren Astronom ve Matematikçi
Hipparchus ve Albategnius kraterleri, Ay’ın orta yaylalarında, Mare Nubium’un hemen doğusunda yer alan iki dikkat çekici çarpma krateridir. Hipparchus krateri,…
-
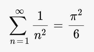
Basel Problemi Matematik Tarihini Nasıl Değiştirdi?
1+1/4+1/9+1/16… şeklinde sonsuza dek devam eden bir toplamın sonucunu aşağıda görüyorsunuz. Peki cevapta neden Pi sayısı var ve neden karesi…









